

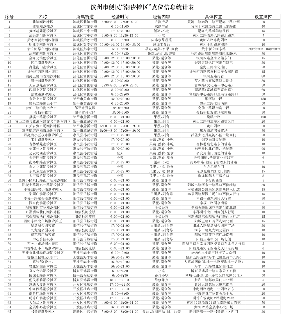
我市发布65处便民“潮汐摊区”点位信息
文章字数:602
晚报讯 风吹麦浪瓜果香,又到了一年一度的应季瓜果(蔬菜)集中上市时节,为规范流动摊贩占道经营、市场冒尖、集市外溢等行为,方便城区周边果(菜)农进城售卖、市民就近购买,今年,我市将绘制便民“潮汐摊区”地图纳入“12163”民生实事计划,巩固便民地图建设成效,提升城市公共服务水平,让“文明味”与“烟火气”同向而行。
据悉,在巩固便民服务地图建设成效的基础上,保留原有应季瓜果疏导点、便民维修服务点的同时,经前期摸排调研、协商共议,充分考虑人车安全、市民需求、环境卫生等因素,采取就近安置的方式,全市在社区广场、背街小巷、小区周边等区域共设置便民“潮汐摊区”65处,安置摊位近1800个。通过定时间、定区域、定业态,设置公示牌明确管理规范,安排执法队员错时巡查值守等措施,既解决了流动摊贩随意摆摊设点问题,又守住了城市烟火气,实现了便民服务与市容品质的双提升。
目前,“惠眼滨州”微信小程序点位信息正在更新中(6月15日前全部到位),市民可通过微信搜索关注,实时查阅应季瓜果、便民维修、潮汐摊区、城区洗车、农(集)贸市场等一系列点位信息,就近选购相关服务,并可通过“我有话说”工作台与城市管理部门交流互动,提出宝贵意见建议。市城管局将结合群众需求,上线更多便民服务场景,在“管用”“爱用”“受用”上下实功、出实招、见实效,着力解决与群众生活息息相关的城市管理堵点难题,提升人民群众幸福感和满意度,全力打造滨州城管便民服务地图新品牌。